传统的硅功率器件工艺中,高温扩散和离子注入是最主要的掺杂控制方法,两者各有优缺点。一般来说,高温扩散工艺简单,设备便宜,掺杂分布轮廓为等向性,且高温扩散工艺引入的晶格损伤低。离子注入工艺复杂且设备昂贵,但它可独立控制掺杂元素的浓度和结深,虽然也会给衬底引入大量的点缺陷和扩展缺陷。
碳化硅功率器件掺杂工艺中,常用的掺杂元素有:N型掺杂,主要为氮元素和磷元素;P型掺杂,主要为铝元素和硼元素,它们的电离能和溶解极限见表1(注:hexagonal (h) and cubic (k))。(四川半导体微组装设备资讯公司)

▲表1. SiC中主要掺杂剂的电离能和溶解极限
图1是SiC和Si中主要掺杂元素的扩散系数随温度变化图。掺杂元素在硅中的扩散系数较高,所以在1300℃左右就可以实现高温扩散掺杂。与硅中扩散系数相比,磷、铝、硼和氮元素在碳化硅中的扩散系数都很低,因此碳化硅中需要2000℃以上的温度才能得到合理的扩散系数。高温扩散会带来很多问题,如引入多种扩散缺陷会恶化器件的电学性能,无法使用常见的光刻胶作掩膜等等,所以离子注入工艺成为了碳化硅掺杂的唯一选择。(四川半导体微组装设备自动化)

▲图1. SiC和Si中主要掺杂杂质的扩散常数对比图
在离子注入过程中,离子因为与衬底晶格原子碰撞逐渐失去能量,同时会将能量转移给碰撞原子。这些转移的能量会使碰撞原子从晶格的束缚能中释放出来。这些获得自由的原子在衬底内继续运动,并会与其他的晶格原子继续碰撞,将其他原子从晶格中碰离出来。这些过程将持续进行,直到没有任何一个自由原子有足够的能量把其他晶格原子释放出来为止。(四川成都半导体设备)
因为离子注入过程中离子总数非常大,以至于衬底中靠近表面部分造成大量的晶格损伤,损伤的效应与剂量、能量等离子注入参数有关系,一般来说会随着剂量与离子能量的增大而增大。如果注入的剂量过高,靠近衬底表面的离子射程内,衬底的晶体结构会完全破坏而变成非晶态。这种晶格损伤必须在退火过程中修复成单晶结构并激活掺杂物。
在高温退火过程中,原子可以从热能中获得能量并进行快速热运动。当运动到单晶晶格位置中具有最低自由能,它就会停留在此位置。所以被破坏的非晶态中的碳化硅与掺杂原子,将在靠近衬底界面位置,通过落入晶格位置并且被晶格能束缚后完成了单晶结构构建。这样晶格修复和提高激活率是在退火过程中同时完成的。
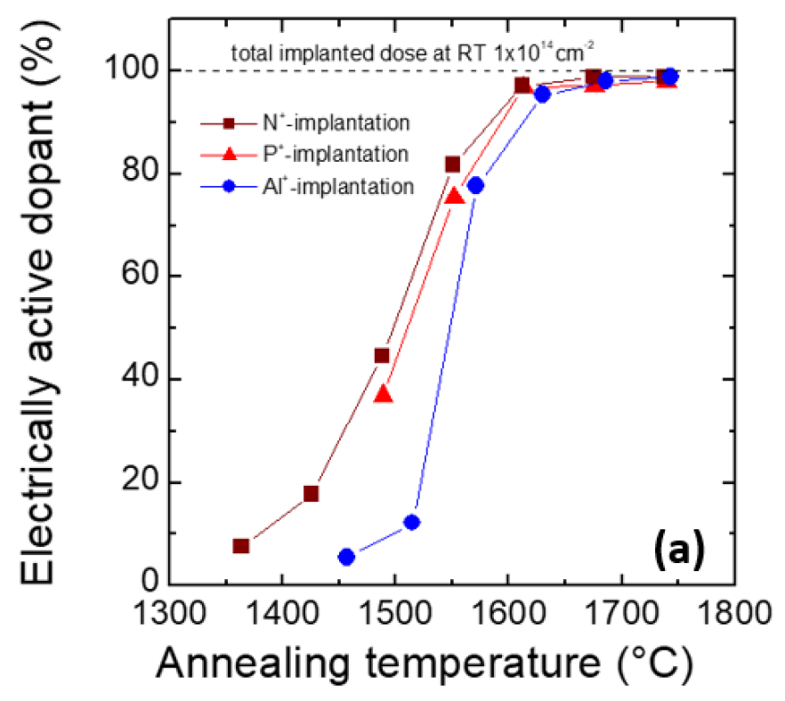
有研究报道了在SiC中掺杂元素的激活率与退火温度的关系(图2a)。其中外延层和衬底均为N型,在外延层上分别注入氮、磷元素,注入深度0.4μm,总注入剂量为1×1014cm-2。从图2a可以看出氮元素在1400℃退火后激活率小于10%,在1600℃退火可以达到90%的激活率。磷元素的情况类似,只有退火温度达到1600℃时,激活率才能达到90%。

▲图2a. SiC中不同退火温度下,不同元素的电激活率
对于P型的离子注入工艺,由于硼元素的异常扩散效应,一般都使用铝元素作为掺杂剂。和N型注入类似,当退火温度达到1600℃,可以显著提高铝元素的激活率。但Negoro等人研究发现,即使在500℃下高温离子注入铝元素,测量到的方阻在3000Ω/square 达到饱和(图2b),即使继续加大注入剂量,方阻也没有进一步降低,这说明铝元素已经不再电离。所以目前使用离子注入制作P型重掺杂在工艺上还是一个挑战。(四川微组装设备多功能贴片机)

▲图2b. SiC中不同元素的电激活率与注入剂量的关系
掺杂元素的结深和掺杂浓度是离子注入工艺最要的因素,它直接决定了后续器件的电学性能,必须要严格控制。二次离子质谱仪(SIMS)可以用来测量离子注入后的掺杂元素的结深和掺杂浓度。
更多的四川半导体微组装设备资讯请联系:18980821008(张生)19382102018(冯小姐)
四川省微电瑞芯科技有限公司http://www.wdrx-semi.com/
